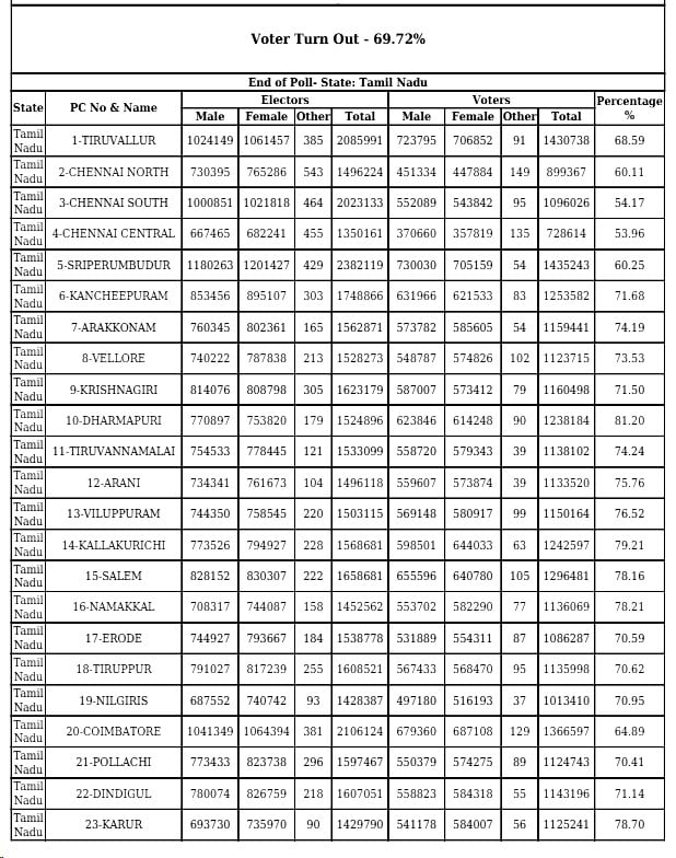
மக்களவைத் தேர்தலில் தமிழ்நாட்டில் 69.72% வாக்குகள் பதிவானதாக அதிகாரப்பூர்வ இறுதி அறிவிப்பை இந்திய தலைமை தேர்தல் ஆணையம் இன்று (ஏப்ரல் 21) வெளியிட்டுள்ளது.
மக்களவைத் தேர்தல் நாடு முழுவதும் 7 கட்டங்களாக நடைபெறுகிறது. இதன் முதற்கட்ட தேர்தல் தமிழ்நாட்டில் 39 தொகுதிகள் உட்பட நாடு முழுவதும் 102 தொகுதிகளில் கடந்த ஏப்ரல் 19ஆம் தேதி நடைபெற்றது.
தேர்தல் நிறைவடைந்து அன்று மாலை 7 மணி நிலவரப்படி 72.09 சதவீதம் வாக்குகள் பதிவாகியுள்ளதாக தமிழ்நாடு தலைமை தேர்தல் அதிகாரி சத்யபிரதா சாகு அறிவித்தார்.
எனினும் வாக்குப்பதிவு சதவீதம் குறித்த அதிகாரப்பூர்வ அறிவிப்பு பின்னர் வெளியாகும் என்று அறிவிக்கப்பட்டது.
தொடர்ந்து இந்திய தேர்தல் ஆணையம் நள்ளிரவில் வெளியிட்ட அறிக்கையில் தமிழ்நாட்டில் 69.46 சதவிகித வாக்குகள் பதிவாகியுள்ளதாக தெரிவிக்கப்பட்டது.
அதில் அதிகபட்சமாக தர்மபுரியில் 81.48 சதவீதமும், குறைந்தபட்சமாக மத்திய சென்னை தொகுதியில் 53.9 சதவீதமும் பதிவானது.
தமிழ்நாட்டில் பல்வேறு தொகுதிகளின் வாக்கு சதவீதங்களில் பெரிய மாற்றங்கள் ஏற்பட்டதால், மக்களிடையே குழப்பத்தை ஏற்படுத்தியது. இதுதொடர்பாக நேற்று செய்தியாளர்களை சந்திக்கப் போவதாக தமிழ்நாடு தலைமை தேர்தல் அதிகாரி அறிவித்திருந்த நிலையில் இறுதியில் அச்சந்திப்பு முழுமையாக ரத்து செய்யப்பட்டது.
இந்த நிலையில் தமிழ்நாட்டில் பதிவான வாக்கு சதவீதம் தொடர்பாக இந்திய தேர்தல் ஆணையம் அதிகாரப்பூர்வ அறிவிப்பை இன்று வெளியிட்டுள்ளது.

அதன்படி தமிழ்நாட்டில் நேற்று முன்தினம் நடைபெற்ற மக்களவை தேர்தலில் 69.72 சதவீத வாக்குகள் பதிவாகியுள்ளதாக தெரிவிக்கப்பட்டுள்ளது.

மேலும் அதிகபட்சமாக தருமபுரி தொகுதியில் 81.20% வாக்குகளும், கள்ளக்குறிச்சியில் 79.21% வாக்குகளும், சிதம்பரத்தில் 76.37% வாக்குகளும் பதிவாகியுள்ளதாக தெரிவிக்கப்பட்டுள்ளது. குறைந்தபட்சமாக மத்திய சென்னை தொகுதியில் 53.96% வாக்குப்பதிவு நடந்துள்ளது.
செய்திகளை உடனுக்குடன் பெற மின்னம்பலம் வாட்ஸ் ஆப் சேனலில் இணையுங்கள்…
கிறிஸ்டோபர் ஜெமா
